24小時聯系電話:18217114652、13661815404
中文
技術專題
PCB設計線電感和寬度
并非所有設計規則都適用于每種情況,并且經常在沒有上下文的情況下進行交流。調整跡線大小的一個特殊規則是,在可能的情況下始終選擇較寬的跡線。與我見過的許多經驗法則不同,此特定的跟蹤法則具有一定的優點。但是,當您需要控制走線阻抗并同時減少振鈴時,則需要仔細控制走線寬度,以確保傳輸線在特定公差范圍內具有所需的阻抗。讓我們看一下調整跡線大小的基本公式,以及如何將阻抗保持在公差范圍內。
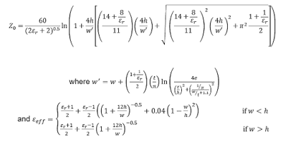
IPC 2142公式僅在特定的阻抗范圍內非常精確。您應該使用更準確的Hartley方程來確定微帶走線的阻抗:
微帶走線的幾何形狀,微帶阻抗的Hartley方程以及微帶走線的有效介電常數
已經為對稱帶狀線,嵌入式微帶線,共面波導和偏移/非對稱帶狀線開發了類似的方程式。現在,我將討論限制在微帶上,但是您可以按照此處概述的其他跡線幾何形狀進行操作。
現在,我將使用上面的公式確定正確的w值,該w值可為指定的走線阻抗值提供最小的單位長度走線電感。最小化每單位長度電感的需求非常重要,因為任何瞬態振鈴信號的阻尼常數(請注意,此處我們不討論反射)與PCB走線電感成反比。
控制PCB走線電感和阻抗
如果看上面的方程,您會發現在調整走線和PCB走線電感的尺寸時要考慮三個重要的幾何參數。在實際的木板中,您將對h的值有一些限制,這將取決于木板和層的厚度。您還將受到走線厚度的限制,走線厚度與您用于電路板的銅重量成正比。這意味著您可以在優化問題中使用上述方程式,同時將板中的層厚度和銅重量作為約束條件。
在此,對于給定值(t / h),基板介電常數和所需阻抗值,要確定的重要參數是(w / h)。這些值的對數是無限的,可以解決特征阻抗方程式。如果要為瞬態振鈴提供最大程度的阻尼,則需要確定(w / h)值,以最小化每單位長度的電感。對于給定(t / h)值,基板介電常數和所需阻抗值,有效介電常數最小化的問題可以重新定義。每單位長度的電感,每單位長度的電容,基板介電常數和阻抗的相關關系如下:

根據阻抗和信號速度跟蹤每單位長度的電感和電容
您當然可以嘗試以圖形方式或通過連續的手動計算來執行此操作。如果您嘗試通過計算導數的臨界點來執行此操作,則最終將得到一系列先驗方程(一個分段且一個連續!)的乘積,必須對(t / h)和Dk的各種值進行數值求解。盡管從原理上講這是一個可解決的問題,但是由于有效介電常數的非線性分段性質以及存在三個相關的幾何參數這一事實,這顯然是棘手的。
解決此類問題的最佳選擇是使用迭代優化算法來確定(w / h)和(t / h)的值,以最小化每單位長度的PCB走線電感。可以使用梯度下降算法,進化算法,Kuhn-Tucker方法或其他非線性優化算法輕松解決此類問題。這使您可以定義(w / h)值的實際上限和下限。您還可以設置(t / h)值的限制,并根據需要將此比率用作優化變量。
幸運的是,這個問題很簡單,可以使用Excel中的求解器工具解決。我創建了一個簡單的電子表格,用于解決以下使用Hartley方程和電感方程的最小化問題。在以下等式中,a和b是分別定義(w / h)和(t / h)的實際最大值的常數;這些可以由設計師選擇:

確定給定阻抗,走線厚度和與地平面距離的最大走線寬度的優化問題
在此,目標是確定在保持走線阻抗恒定的同時最小化L(如上定義)的(w / h)和(t / h)值。如果愿意,可以從銅的重量中設置一個特定的t值,設計人員可以為給定的t值(層厚)選擇h的值。
示例1:改變銅的重量和層厚度
在第一個示例中,我將允許銅的重量和層厚(即,比率(t / h)的值)為優化變量。基板介電常數為Dk =4。對于上面列出的限制,我選擇了a = 5和b =2。對于我的結果,我發現(w / h)= 1.572332 時,最小電感為290 nH /米。(t / h)= 1.213156。

示例1的優化結果
在解釋結果時,很明顯,如果不改變走線阻抗,就不能永遠增加走線寬度。顯然有一些優化傳輸線的最佳走線寬度。設計人員還有一個需要選擇的剩余參數:層厚h。一旦設計者選擇了該值,就可以根據上面列出的計算比率輕松確定w和t的值。
范例2:1 oz / sq。英尺的銅重量,四層板
此示例顯示了更實際的情況。我已經對1 oz / sq的電路板運行了上述優化問題。英尺的銅重量(走線厚度t = 0.035毫米)和具有相等尺寸的標準4層板(h = 0.393毫米),且實際介電常數Dk =4。因為我選擇了t和h的值,所以比率(t / h)不再是優化變量,因為(t / h)= 0.089172。對于(w / h)的約束,我選擇a =5。對于我的結果,我發現當(w / h)= 1.92445 時,最小電感為292 nH /米。由于我的層厚度為0.393毫米,因此該特定電感值所需的走線寬度為w = 0.7563毫米(?30密耳)。

示例2的優化結果
就像進行完整性檢查一樣,我們可以快速計算使用此方法確定的走線的總電感,并將其與典型值進行比較。?1 in。跡線的電感通常為5至10 nH。對于我使用該模型設計的優化走線,長度為1英寸的總電感為7.4168 nH,這在小PCB走線的正常測量范圍內。此外,如果您查看IPC 2152諾模圖,則可以立即使用這些結果來確定該軌跡中給定電流的溫升。
Excel中的內置進化優化算法需要花費大量時間才能收斂,盡管與內置GRG非線性算法相比,它會提供更準確的結果。可以輕松地將此方法用于其他跡線幾何形狀并獲得相似的結果

